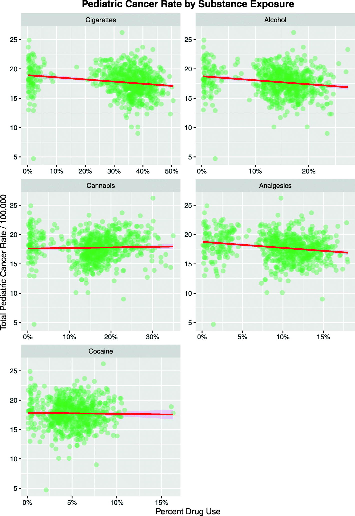
Fig. 4From: A geospatiotemporal and causal inference epidemiological exploration of substance and cannabinoid exposure as drivers of rising US pediatric cancer ratesTotal pediatric cancer incidence rate as a function of drug exposureBack to article page