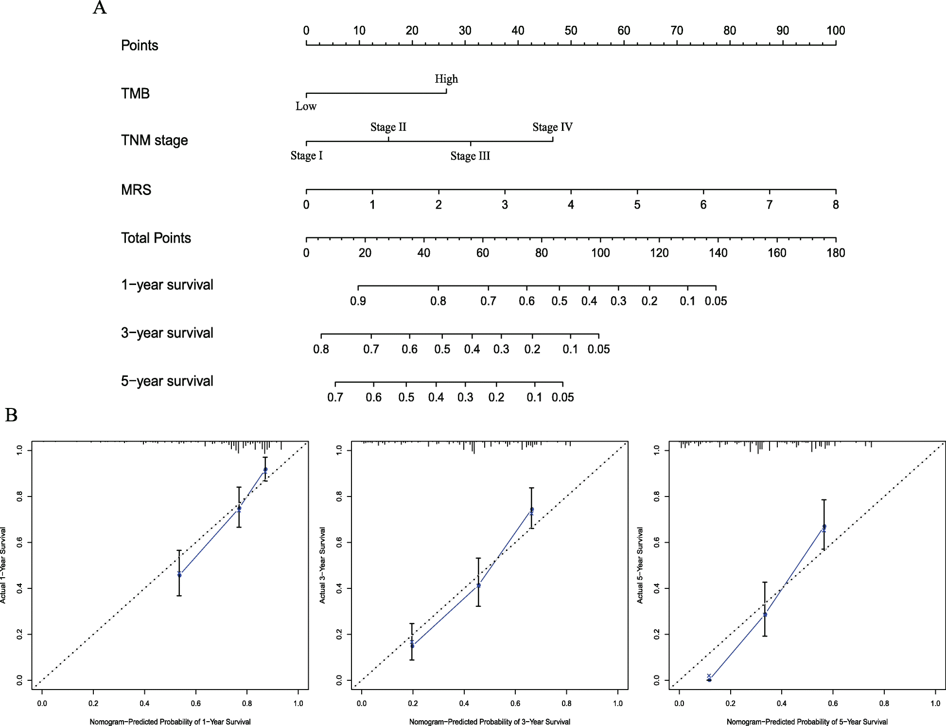
Fig. 6

Construction of prognostic nomogram for patients with iCCA. a The predicted 1-, 3-, and 5-year survival rates in iCCA patients based on our nomogram that included MRS, TMB, and TNM stage. b Calibration plots show the concordance between predicted and actual observation and prediction in 1, 3, and 5-year OS